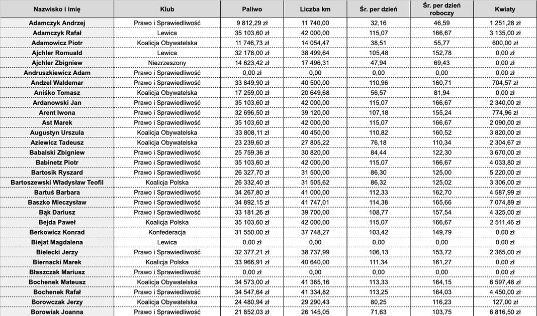
Wydatki posłów na paliwo, kwiaty i wiązanki okolicznościowe w 2021 roku

Obrazek posta

Pierwsze zestawienie tylko dla Was!

Post dostępny tylko dla Patronów

Aby zobaczyć ten materiał musisz być zalogowany

Zostań Patronem Zaloguj się

Zobacz również

Rozpocząłem cyfryzowanie oświadczeń majątkowych posłów do PE
W końcu jest – grupa na Facebooku
Skrót polityczny UPDATE (rankingi)