Kurs żeby nie odpaść na pierwszym roku

Obrazek posta

Jak trochę odpocznę, to chyba zrobię kurs wakacyjny, który oszczędzi dzieciom masę stresu/hajsu wydanego na korki na pierwszym roku.

 

Będzie drogo, ale dla dzieci, które widnieją na liście wspieraczy nieprzerwanie od dłuższego czasu, nie będzie drogo. Będzie tanio. Albo i za friko, jeśli łączna kwota wsparcia duża.

 

Zrobimy te rzeczy, których nie ma w szkole średniej, a prowadzący często zakładają, że dzieci to wyniosły ze szkoły sredniej, bo oni to mieli w szkole.

Więc na przykład to będzie:

Z tym że nie będzie trzeba miesiąca na to, wystarczy połowa zajęć.

No i zrobimy decybele, drgania w obwodach z pojemnością i indukcyjnością.

Diagramy wskazowe może.

No i jakieś podstawowe pochodne, całki i równania różniczkowe.

I jeszcze łączenie kondensatorów.

Równanie adiabaty też nie zaszkodzi.

No i wektory porządnie, czyli na współrzędnych. Bo machanie rękami bez sensu, skoro nikt nigdy nie wie którą.

 

W poprzednim sezonie prawie wszystko powyższe udało się zrobić przez sierpień i wrzesień przy jednych zajęciach tygodniowo. (No, może były już w lipcu jakieś zajęcia, nie pamiętam.) Próbki wolne od matematyki wyższej:

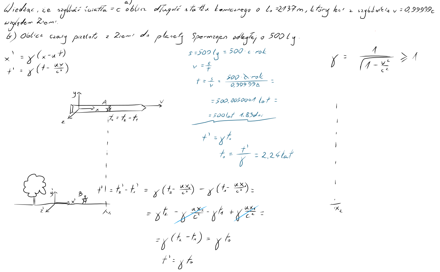
To powyżej to STW z pierwszych zasad, czyli tak, jak na fizykę muszą to robić studenci I roku Transportu (sic!) na PG.

W ogóle wszystko zrobimy w miarę możliwości z pierwszych zasad (czyli kulturalnie), bo nigdy nie wiadomo, czy nie trafi się na takiego prowadzącego jak ten od fizyki na PG.

kurs wyrównawczy 2024

Zobacz również

To na 90% będzie jutro
Patostream na kamerkach, bo oblewanie/zalewanie robaka
Jak skutecznie potencjały bez kredek

Komentarze (0)

Trwa ładowanie...